2010年《中級經濟法》: 數據特征的測度(3)
更新時間:2010-03-30 11:15:43
來源:|0
瀏覽
收藏


(三)算術平均數
1、涵義:算術平均數是全部數據的算術平均,又稱均值,用 表示。是集中趨勢中最主要的測度值。主要適用于數值型數據,但不適用于品質數據。
2、計算公式:
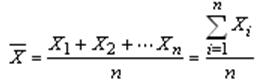
(1)簡單算術平均數
簡單算術平均數主要用于處理未分組的原始數據。
簡單算術平均數的計算公式為:
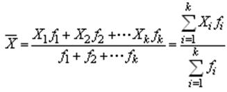
(2)加權算術平均數轉自環 球 網 校edu24ol.com
加權算術平均數主要用于處理經分組整理的數據。
加權算術平均數的計算公式為:
Xi——各組的組中值
fi——各組的頻數
3、計算和運用算術平均數注意事項:
(1)算術平均數同時受到兩個因素的影響:各組數值的大小、各組分布頻數的多少。頻數在算術平均數中起著權衡輕重的作用。
(2)算術平均數易受極端值的影響。極端值的出現,會使平均數的真實性受到干擾。
【例題6:2003年單選】集中趨勢最主要的測度值是( )。
A.眾數 B.中位數
C.均值 D.幾何平均數
答案:C
解析:算術平均數也稱為均值,是集中趨勢最主要的測度值。
編輯推薦
最新資訊
- 2020年初中級經濟師《經濟基礎》章節考點匯總2019-11-15
- 2019年初中級經濟師《工商管理》考點匯總2019-10-17
- 2019年初中級經濟師《金融經濟》考點匯總2019-10-15
- 2019年初中級經濟師《建筑經濟》考點匯總2019-10-15
- 2019年初中級經濟師《財政稅收專業》考點匯總(10月12日更新)2019-10-12
- 2019年初中級經濟師《經濟基礎》考點匯總2019-10-10
- 2019年經濟師考試這12個公式必備!2019-09-10
- 2019年全國經濟師考試教材正式出版!2019-07-09
- 2019年經濟師考試備考必背公式集合匯總2019-04-25
- 2019年經濟師考試備考必背公式集合三2019-04-25