2010年《中級經濟基礎》輔導:價格彈性(1)
更新時間:2010-11-03 10:17:58
來源:|0
瀏覽
收藏


價格彈性
(一)、需求價格彈性
1.需求價格彈性的定義
需求的變動與價格的變動符號相反,因此Ed為負數,為簡便起見,我們通常把負號略去,取其絕對值。
【例題】某國為了鼓勵本國石油工業的發展,于1973年采取措施限制石油進口,估計這些措施將使可得到的石油數量減少20%,如果石油的需求價格彈性在0.8—1.4之間,問從1973年起該國石油價格預期會上漲多少?
解:∵需求的價格彈性=需求量變動百分率/價格變動百分率
∴價格變動%=需求量變動%/需求的價格彈性
當價格彈性為0.8時,價格變動%=20%/0.8=25%
當價格彈性為1.4時,價格變動%=20%/1.4=14.3%
所以,預其1973年該國石油價格上漲幅度在14.3—25%之間。
2.需求價格彈性系數的計算公式???點彈性和弧彈性
(1)點彈性
點彈性,需求曲線某一點上的彈性,等于需求量的無窮小的相對變化對價格的一個無窮小的相對變化的比。
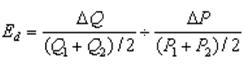
(2)弧彈性???需求曲線兩點之間弧的彈性。
弧彈性系數的計算公式為:
注意:
弧彈性適用于價格和需求量變動較大的場合。
點彈性適用于價格和需求量變動較小的場合。
環球網校2010年經濟師考試網絡輔導熱招中 轉自環 球 網 校edu24ol.com
編輯推薦
最新資訊
- 2020年初中級經濟師《經濟基礎》章節考點匯總2019-11-15
- 2019年初中級經濟師《工商管理》考點匯總2019-10-17
- 2019年初中級經濟師《金融經濟》考點匯總2019-10-15
- 2019年初中級經濟師《建筑經濟》考點匯總2019-10-15
- 2019年初中級經濟師《財政稅收專業》考點匯總(10月12日更新)2019-10-12
- 2019年初中級經濟師《經濟基礎》考點匯總2019-10-10
- 2019年經濟師考試這12個公式必備!2019-09-10
- 2019年全國經濟師考試教材正式出版!2019-07-09
- 2019年經濟師考試備考必背公式集合匯總2019-04-25
- 2019年經濟師考試備考必背公式集合三2019-04-25