欧美老妇人XXXX-天天做天天爱天天爽综合网-97SE亚洲国产综合在线-国产乱子伦精品无码专区

當前位置: 首頁 > 教師資格 > > 在線性空間R3中,已知向量=(1,2,1),=(2,1,4),=(0,-3,2),記。令。(1)求子空間V3的維數;(4分)(2)求子空間V3的一組標準正交基。(6分)

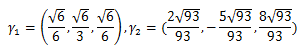
1.【問答題】

在線性空間R3中,已知向量=(1,2,1)=(2,1,4)=(0,-3,2)

(1)求子空間V3的維數;(4分)

(2)求子空間V3的一組標準正交基。(6分)


查看答案
獲取二級造價工程師定制學習規劃
壯壯老師
00:00:00
2334已獲取

微信號:hqwxjg1006

教師資格歷年真題 更多

下載快題庫,隨時隨地刷題
碎片時間鞏固知識點

返回頂部