欧美老妇人XXXX-天天做天天爱天天爽综合网-97SE亚洲国产综合在线-国产乱子伦精品无码专区
教師資格
法律
法律職業資格
人力
一級人力資源師
二級人力資源師
三級人力資源師
四級人力資源師
人力資源數字化管理
HRBP
人才與組織發展經理
人力資源經理
AI人力資源管理師
人力資源管理與應用
職稱
軟考高級職稱(高項)
軟考高級職稱(系規)
軟考高級(系統架構)
軟考中級職稱(中項)
軟考中級職稱(網工)
軟考中級職稱(信管)
軟考中級職稱(信監)
注冊審核員
信創認證
PMP認證
CSPM
公考
國家公務員
地方公務員
事業單位考試
遴選考試
教師
教師資格
教師招聘考試
普通話
國際漢語教師
英語
翻譯資格(英語)
公共英語
資格
導游證
勞動關系協調師
中級社會工作者
初級社會工作者
茶藝師
職業培訓師
無人機執照(CAAC)
全部課程
課程試聽
老師風采
考試動態
答疑精選
成績查詢
考試報名
證書領取
準考證
合格標準
注冊查詢
報考指南
考試時間
認定公告
報考查詢
報考條件
考試題庫
在線題庫
歷年試題
模擬試題
每日一練
知識點題目
備考指導
報考須知
復習資料
考試技巧
學員心聲
政策法規
行業動態
培訓視頻
學習交流
立即咨詢
當前位置:
首頁
>
教師資格
>
>
3.與命題“y=f(x)在z0連續”不等價的命題是(?)。
1.【單選題】
知識點:學科知識
3
.與命題“y=f(x)在z
0
連續”不等價的命題是( )。
A
B
C
D
查看答案
參考答案:
C
全站統計:
本題共被答
65
次
正確率為
50.7692%
易錯選項為
A
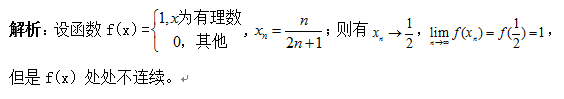
題目解析:
本題解析反饋:
沒看懂
看懂
考核知識點:
學科知識
試題難度:
獲取二級造價工程師定制學習規劃
00
:
00
:
00
2334
已獲取
微信號:hqwxjg1006
教師資格歷年真題
更多
資料下載
更多
下載快題庫,隨時隨地刷題
碎片時間鞏固知識點
獲取驗證碼
立即注冊
注冊表示同意
《用戶協議》
和
《隱私政策》
可進入學習中心查看新用戶注冊贈禮
微信掃碼一鍵登錄
微信掃碼安全登錄
可進入學習中心查看新用戶注冊贈禮
掃描即表示同意
《網站注冊協議》
返回頂部