欧美老妇人XXXX-天天做天天爱天天爽综合网-97SE亚洲国产综合在线-国产乱子伦精品无码专区

當前位置: 首頁 > 結構工程師 > 結構工程師備考資料 > 注冊結構工程師輔導:理想氣體的溫度公式

注冊結構工程師輔導:理想氣體的溫度公式

更新時間:2010-07-05 13:56:53 來源:|0 瀏覽0收藏0

結構工程師報名、考試、查分時間 免費短信提醒

地區

獲取驗證 立即預約

請填寫圖片驗證碼后獲取短信驗證碼

看不清楚,換張圖片

免費獲取短信驗證碼

  理想氣體的溫度公式(或能量公式)

  比較

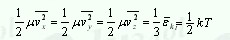
  (2-1-5)

  把 代入上式,得到理想氣體分子的方均根速率

  (2-1-6)

  1.式(2-1-5)是宏觀量溫度T和微觀量 的關系,說明分子的平均平動動能與熱力學溫度成正比。

  溫度的微觀意義:氣體的溫度是氣體分子平均平動動能的量度。

  溫度是大量分子熱運動的集體表現,具有統計意義。對個別的分子討論它的溫度沒有意義。

  2. 式(2-1-6)指出方均根速率是氣體分子作熱運動時速率的一種統計平均值。

  (四)能量按自由度均分定理

  在溫度為T的平衡態下:

  可得

  即:分子的每一個平動自由度的平均動能都等于kT / 2。

  能量按自由度均分定理:在溫度為T的平衡態下,氣體分子的任何一個自由度上均分配有 kT/2 的平均動能。

  如果氣體分子有i個自由度,則每一個分子的總平均動能為

  (2-1-7)

  一摩爾理想氣體的內能為

  (2-1-8)

  質量為mkg(摩爾質量為Mkg)的理想氣體的內能為

  (2-1-9)

  注意:

  1、能量均分定理是分子能量的統計規律,是對大量分子統計平均的結果。對少量分子不適用。

  2、理想氣體的內能僅與溫度有關,是溫度T的單值函數。

2010年注冊結構工程師考試報名時間信息匯總
 結構工程師基礎科目(一)考試普通化學練習題匯總
2010年結構師考試9月18、19日

更多信息請訪問
結構工程師頻道    結構工程師論壇

分享到: 編輯:環球網校

資料下載 精選課程 老師直播 真題練習

結構工程師資格查詢

結構工程師歷年真題下載 更多

結構工程師每日一練 打卡日歷

0
累計打卡
0
打卡人數
去打卡

預計用時3分鐘

結構工程師各地入口
環球網校移動課堂APP 直播、聽課。職達未來!

安卓版

下載

iPhone版

下載

返回頂部